his is the sixth of seven articles devoted to the topic of shielding to prevent electromagnetic wave radiation. The first article [1] discussed the reflection and transmission of uniform plane waves at a normal boundary. The second article [2] addressed the normal incidence of a uniform plane wave on a solid conducting shield with no apertures. The third article [3] presented the exact solution for the shielding effectiveness of a solid conducting shield. The fourth article [4] presented the approximate solution obtained from the exact solution. The fifth article [5] discussed the wave impedance of electric and magnetic dipoles. In this article, we will use the concept of wave impedance to determine the shielding effectiveness in the near field.
The shielding effectiveness in the near field for electric sources is:
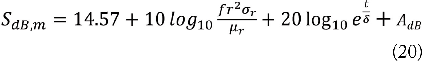
The reflection loss of a good, thick conductor in the far field was derived in [4] as:
Thus,
Thus:
Note that up to the frequency of about 4200 Hz, the shielding effectiveness of copper is higher than that of steel. Beyond that frequency, the opposite is true.
Note that up to the frequency of about 4400 Hz, the shielding effectiveness of copper is higher than that of steel. Beyond that frequency, the opposite is true.
- Bogdan Adamczyk, Shielding to Prevent Radiation – Part 1: Uniform Plane Wave Reflection and Transmission at a Normal Boundary, In Compliance Magazine, June 2025.
- Bogdan Adamczyk, Shielding to Prevent Radiation – Part 2: Uniform Plane Wave Normal Incidence on a Conducting Shield, In Compliance Magazine, July 2025.
- Bogdan Adamczyk, Shielding to Prevent Radiation – Part 3: Far-Field Shielding Effectiveness of a Solid Conducting Shield – Exact Solution, In Compliance Magazine, August 2025.
- Bogdan Adamczyk, Shielding to Prevent Radiation – Part 4a: Far-Field Shielding Effectiveness of a Solid Conducting Shield – Approximate Solution, In Compliance Magazine, September 2025.
- Bogdan Adamczyk, Shielding to Prevent Radiation – Part 4b: Far-Field Shielding Effectiveness of a Solid Conducting Shield – Approximate Solution, In Compliance Magazine, October 2025.
- Bogdan Adamczyk, Shielding to Prevent Radiation – Part 5: Near-Field Wave Impedance of Electric and Magnetic Dipoles, In Compliance Magazine, November 2025.
- Bogdan Adamczyk, Principles of Electromagnetic Compatibility – Laboratory Exercises and Lectures, Wiley, 2023.






