aval platforms present the most severe Electromagnetic Environment (EME) in the world, created by high-powered electromagnetic emitters such as air-search, surface-search, fire-control, and navigation radars, as well as broadband communications and electronic warfare systems. The limited space available aboard surface platforms necessitates that these high-powered electromagnetic emitters be located in proximity to other electronic/electrical systems aboard ships. Sensitive electronic equipment is typically contained within Radio Frequency (RF) reflective cavities (i.e., below-deck spaces, equipment enclosures, etc.) for protection from harsh EMEs. Communications and power cables are typically routed between enclosures within such spaces, introducing inadvertent coupling paths between cavities. Additionally, as the topside EME continues to increase and as below-deck transmitters (i.e., RFID, Wi-Fi, etc.) are incrementally installed within the Fleet, understanding and predicting the field distributions within coupled spaces will assist in characterizing electronic equipment performance and assuring personnel safety.
Statistical electromagnetic formalisms for electromagnetic fields within RF-reflective cavities had their beginnings through the study and use of reverberation chambers (RCs) for Electromagnetic Compatibility (EMC) testing [1] and are now widely accepted within the EMC community as a tool for compatibility and susceptibility testing [2-4]. RCs are electromagnetically reflective cavities with a high quality (Q) factor where the fields excited within the cavity reverberate [4-6]. The addition of tuners within the chamber (also known as paddles or stirrers) allows for the electromagnetic (EM) boundary conditions to be easily changed so the EM fields can be perturbed discretely (mode-tuned) or continuously (mode-stirred).
The statistics of RCs have been well studied and show the magnitude of a single spatial electric-field component, |Er|, will follow a chi-distribution with two degrees of freedom, and the square magnitude of this same component, |Er|2, follows a chi-square distribution with two degrees of freedom; both distributions are also widely known as the Rayleigh and exponential distribution, respectively [4, 6].
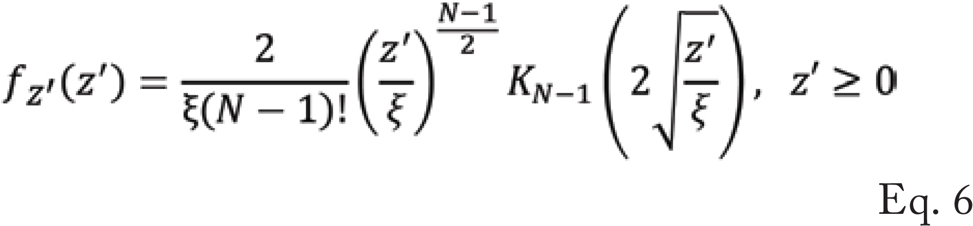
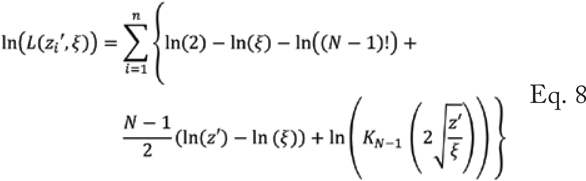
This project takes an alternative approach to the already growing interest in describing the field statistics within nested cavities [8-13]. Previous studies examined the case when two cavities are coupled via an aperture [8-9]. These studies hypothesized that the double-Rayleigh distribution would model the nested field statistics, but were unsuccessful in demonstrating it as a good fit for all test cases. This study hypothesized the same distribution but alternatively uses N wire penetrations as the coupling mechanism (vice apertures) and analyzes the statistics of the received power for each N case.
Both enclosures were originally measured in isolation from one another to verify that both indicate exponential received power. The AD test was used to test each sample set against an exponential distribution at a 95% confidence level. The null hypothesis rejected 4.75% of the sample sets for the external enclosure and 6.15% of the sample sets for the nested enclosure, both at the defined confidence level. The rejection rates are near that of an ideally operating RC at a 95% confidence and can therefore be used for this study.
For the N = 2 and 5 cases, the exponential distribution is rejected decreasingly less than the N = 1 case, but still at too great a rate for evidence of an exponential distribution. However, comparing the N = 2 and 5 cases, it is becoming evident that fewer distributions can reject the null hypothesis when tested against the exponential distribution. Additionally, it should not be surprising that the AD and chi-square GOF rejections are different, with the chi-square being less powerful than the AD test, as shown in [23]. The rejection rate for the DE distribution demonstrates the exact opposite trend as the exponential distribution, with more distributions being rejected as the number of independent wire penetrations increases.
As N continues to increase, the evidence of the exponential distribution increases to where finally the two GOF tests have near identical total rejected values (i.e., N = 30 test case). For the N ≥ 20 test cases, the two enclosures are statistically operating as a single RC. Alternatively, the DE distribution only provides a good fit for a single wire penetration (i.e., N = 1) and is rejected for all other test cases (i.e., N > 1).
The transitions in GOF rejection rates are visually depicted in Figure 6. As N increases for the exponential distribution, the total number of rejected values decreases, as seen in Figure 6a for the AD GOF tests, while the total number of rejected values increases for the DE distribution using the chi-square GOF test shown in Figure 6b.
Taking a step back and conceptually understanding what is going on under the lid, each new coupling mechanism (i.e., wire penetration) is introducing an independent exponential RV into the nested enclosure. Since each wire penetration is introducing power into the nested enclosure through the coupled power from the exposed wire within the external enclosure, each exponential RV is from the same parent distribution, specifically the external chamber’s exponential distribution. Additionally, when sufficiently spaced (by at least λ /4 to ensure spatially uncorrelated samples), each wire penetration introduces an independent, identically distributed (IID) RV.
The DE distribution provided a good fit when the two enclosures were coupled by a single wire penetration (N = 1). For the N > 1 cases, non-DE behavior was observed. The characteristics of an exponential distribution became evident as a large number of wire penetrations (N ≥ 20) were implemented on the enclosure. For N < 20 wire penetrations, the disagreement between the rejection rates of the AD and chi-square GOF tests against the exponential was too different and too large to suggest that exponential behavior is present at the 95% confidence level.
The MDE distribution was then introduced and shown to have a good fit for all test cases (1 ≤ N ≤ 30), indicating it is a good distribution to choose when characterizing the received power under the conditions present in this experiment. Further work will be done to analyze nested enclosures when energy balance [22] is taken into consideration, as well as when apertures are used as test cases.
- H. A. Mendes, “A new approach to electromagnetic field-strength measurements in shielded enclosures,” Wescon, Los Angeles, CA, 1986.
- IEC 61000-4-21 Electromagnetic Compatibility: Reverberation Chamber Test Methods, International Electrotechnical Commission (IEC), Geneva, Switzerland, August 2003.
- MIL-STD-461G: Requirements for the Control of Electromagnetic Interference Characteristics of Subsystems and Equipment, US DoD Interface Standard, 11 December 2015.
- D.A. Hill, Electromagnetic Fields in Cavities: Deterministic and Statistical Theories, Wiley-IEEE Press, 2009.
- R. Serra et al., “Reverberation chambers a la carte: An overview of the different mode-stirring techniques,” IEEE Electromagnetic Compatibility Magazine, vol. 6, no. 1, pp. 63-78, 2017.
- D. A. Hill, Electromagnetic Theory of Reverberation Chambers (NIST Technical Note 1506). Gaithersburg, MD, U.S. Department of Commerce, National Institute of Standards and Technology, 1998.
- M. L. Crawford and G. H. Koepke, Design, evaluation, and use of a reverberation chamber for performing electromagnetic susceptibility/vulnerability measurements (NBS Technical Note 1092), Gaithersburg, MD, U.S. Dept. of Commerce, National Bureau of Standards, 1986.
- M. D. Sowell and J. C. West, “Statistics of Electromagnetic Fields within Aperture-Coupled, Nested Reverberant Cavities,” IEEE Symposium on Electromagnetic Compatibility, Grand Rapids, MI, July 2023.
- Y. He and A. C. Marvin, “Aspects of field statistics inside nested frequency-stirred reverberation chambers,” IEEE International Symposium on Electromagnetic Compatibility, Austin, TX, August 2009, pp. 171-176.
- C. E. Hager IV and G.B. Tait, “Maximum Received Power Statistics within RF Reflective Enclosures for HERO/EMV Testing,” IEEE Symposium on Electromagnetic Compatibility, Santa Clara, CA, March 2015, pp. 237-241.
- M. Höijer and L. Kroon, “Field Statistics in Nested Reverberation Chambers,” IEEE Transactions on Electromagnetic Compatibility, vol. 55, no. 6, pp. 1328-1330, December 2013.
- G. Gradoni, J. -H. Yeh, T. M. Antonsen, S. Anlage, and E. Ott, “Wave chaotic analysis of weakly coupled reverberation chambers,” IEEE International Symposium on Electromagnetic Compatibility, Long Beach, CA, 2011, pp. 202-207.
- W. Qi et al., “Statistical Analysis for Shielding Effectiveness Measurement of Materials Using Reverberation Chambers,” IEEE Transactions on Electromagnetic Compatibility, vol. 65, no. 1, pp. 17‑27, Feb. 2023.
- Marco Geraci and Mario Cortina Borja, “Notebook: The Laplace Distribution,” Significance, vol. 15, no. 5, October 2018, pp. 10-11.
- H. I. Okagbue et al, “Laplace Distribution: Ordinary Differential Equations,” World Congress on Engineering and Computer Science, San Francisco, CA, October 2018.
- C. L. Holloway et al., “Use of Reverberation Chambers to Determine the Shielding Effectiveness of Physically Small Electrically Large Enclosures and Cavities,” IEEE Transactions on Electromagnetic Compatibility, vol. 50, no. 4, pp. 770-782, 2008.
- W. K. Grassmann, “Computational Methods in Probability Theory,” Stochastic Models, vol. 2, Edited by D. P. Heyman and M. J. Sobel, Elsevier Science Publishers B.V., 1990., Ch. 5, sec 2.8, pp. 221-223.
- S. Kay, Intuitive Probability and Random Processes using MATLAB®, New York, NY, Springer, 2006.
- S. Miller and D. Childers, “Random Variables, Distributions, and Density Functions,” Probability and Random Processes: With Applications to Signal Processing and Communications, 2nd ed., Waltham, MA, USA: Academic Press, 2012, ch. 3, sec. 3.4.5, pp. 81‑82.
- P. L. Meyer, Introductory Probability and Statistical Applications, 2nd ed., Reading, MA, USA: Addison-Wesley Pub. Co., 1970.
- I.S. Gradshteyn and I. M. Ryzhik, “Definite Integral of Elementary Functions,” Table of Integrals, Series, and Products, 8th ed, Waltham, MA, Academic Press, 2014, Ch. 3, section 3.471, pp. 370.
- G. B. Tait, R. E. Richardson, M. B. Slocum, M. O. Hatfield, and M. J. Rodriguez, “Reverberant Microwave Propagation in Coupled Complex Cavities,” IEEE Transactions on Electromagnetic Compatibility, February 2011, vol. 53, no. 1, pp. 229-232.
- A. O. Lima et al, “Extreme Rainfall Events Over Rio de Janeiro State, Brazil: Characterization Using Probability Distribution Functions and Clustering Analysis,” Atmospheric Research, vol. 247, 2021.
- J. Lie and J. Chen, Stochastic Dynamics of Structures, John Wiley & Sons (Asia) Pte Ltd, 2009.










